立法院院會近日二讀通過「國會改革」相關法案,包括國會職權行使修法,其中,已二讀表決通過了增訂聽證權、人事同意權改記名投票、被質詢人藐視國會最高罰20萬元等關鍵條文。

不過同時,立法院外青島東路、濟南路及中山南路上,民眾都在議程同時於場外抗議遊行,主辦單位聲稱24日現場甚至有10萬人上街頭。

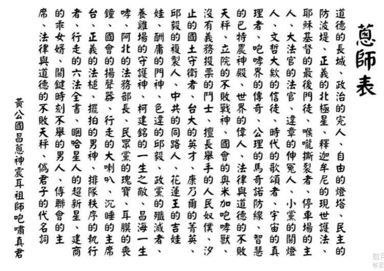
民眾手持「反黑箱、要民主」及「沒有討論、不是民主」等標語訴求,其中嘲諷黃國昌的「蔥師表」更是被廣為流傳。

推薦新聞:麥玉珍爆家暴陰影!哭訴被林淑芬打後「誰走後面都很恐慌」

蔥師表內容為網友為嘲諷黃國昌而取的各種綽號。取自Thread
蔥師表內容為網友為嘲諷黃國昌而取的各種綽號。取自Thread

蔥師表內容為網友為嘲諷黃國昌而取的各種綽號,目前網路上有各種版本,並且不斷更新中。黃國昌對此回應,他對網友創意都尊重,也會找時間來看看,這也是他對公民社會向來的看法。

媒體問及,是否會在明天公民團體上街時,實際與學生、青年朋友直球對決?黃國昌說,實質條文部分,他已經很清楚一條條跟大家進行說明,至於針對他個人的仇恨,他覺得不是最重要的事。他補充,他的目標很明確,就是完成國會改革,不會讓任何其他事情模糊焦點,真正問題焦點是民進黨跳票8年的國會改革。

作者簡介

葉家瑋

寄生台北的政治記者。報導沒有驚天動地,現場都是牛鬼蛇神。於是只好在紙上做鬼,算是對現場的還原。最喜歡的一句話是:本日會議到此結束,散會!


點擊閱讀下一則新聞 點擊閱讀下一則新聞
國民黨封殺中選會人選、拖延軍購!何欣純:盧秀燕稱化解對立淪口號